如何处理电气特性?
关键的高频电气特性包含特征阻抗(Z 0),衰减系数(α)和信号传输速度(v),特征阻抗和信号传输速度由有效相对介电常数确定,而信号损耗由衰减系数决定。
在所有可能的传输结构中,例如带状线(带状线的定义将在下面的a部分中介绍),微带线,双极脉冲或槽,带状线和微带线在微波电路设计中应用广泛,并且通常依赖于软基材料。对于带状线或微带线,地面距离和导体宽度之间的比率,导体厚度和耦合导体之间的距离强烈地影响特征阻抗和衰减系数。在特定频率范围内和传输线结构上,衰减系数,相对介电常数和特征阻抗可以以频率可靠性为特征。
当带状线或微带的横截面尺寸大于电介质中的波长时,其他(更高)传输模式变得明显,这使得传输线的电性能减弱。随着信号速度和频率上升,传输线的尺寸必须按比例减小以避免更高阶模式,需要应用具有给定特性阻抗的更薄衬底材料。
1、带状线
带状线是一种传输线结构,包括一条信号线和两个较宽的接地,它们与夹在其间的信号线平行,下图显示了从IPC-2252摘录的截面图中的典型带状线。
带状线的特征阻抗公式分为两个方面:窄信号线和宽信号线。
a、窄信号线![]()
Z 0表示特征阻抗(欧姆);
ε - [R指的是相对介电常数;
b指地面之间的距离(m);
w指信号线宽(m)。
Y的价值迎合了公式: ![]()
在该式中
,t是指铜的厚度(μm)。
b、宽信号线
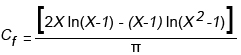
在此公式中,C f指的是边缘电容并符合以下公式:
2、不对称带状线
当信号线放置在地面(或功率)之间但不在中心位置时,必须修改带状线的计算公式。在修改过程中,必须耦合信号线之间的差异以及更近和更远的接地。如果信号线位于中心三分之一的范围内,则假设信号线位于中心的位置引起的偏差将非常小。
当信号线之间非常需要耦合时,必须依赖不对称的带状线结构,从而损害位于不同表面并由电介质隔开的两条信号线。通过平行线或交叉线进行耦合。当涉及高频电路设计时,不需要耦合,垂直交叉信号线的结构不起作用。
3、微带线
微带线也是一种传输线结构,包括与信号线平行的信号线和地。
微带的特征阻抗公式基于仅包含一个电介质的微带的简单模型,该电介质是没有厚度的导体。公式类似于公式7
在该式中,式8中,Z之后的第二个“0”和“1”表示零导体厚度和一种电介质。因此,该模型的精度优于0.01%时的值ü小于1。当的值ü小于1000时,精度比0.03%更好。
本文一共三段,这是中间一段,其他两段阅读点击下边链接:
射频和微波PCB设计指南上
射频和微波PCB设计指南下





